北京梦雨楼论坛官网入口 ,汕头桑拿网蒲友论坛,楼凤阁栖凤楼论坛栖凤楼茶楼论坛永久地址,泻火楼论坛一品楼凤qm楼论坛

焦点图文
您当前的位置 :

  中国科学院上海营养与健康研究所林旭研究组与中国科学院分子细胞科学卓越创新中心曾嵘研究组合作,分别于2021年11月20日和4月7日在国际著名的Diabetologia(《糖尿病学》)及The American Journal of Clinical Nutrition(AJCN,《美国临床营养学杂志》)杂志发表了题为 “Associations of plasma glycerophospholipid profile with modifiable lifestyles and incident diabetes in middle-aged and older Chinese”、 “Plasma glycerophospholipid profile, erythrocyte n–3 PUFAs, and metabolic syndrome incidence: a prospective study in Chinese men and women”的研究论文。

  近几十年来,我国居民的肥胖、代谢综合征及糖尿病等心血管代谢性疾病的患病率快速攀升,严重威胁着我国居民的健康。健康的生活方式是国际公认的预防和控制这类疾病的经济有效的方法,但目前人们对其在疾病过程中的复杂影响和调控路径认识有限。近年来,包括脂质组在内的代谢组学技术的快速发展,为发现疾病早期的生物标记物、阐释疾病发生发展相关的代谢通路和调控因素提供了契机。在诸多的脂质分子中,甘油磷脂(glycerophospholipid, GPLs)作为哺乳动物细胞膜含量最丰富的磷脂,参与了多种重要的生理功能,如细胞信号传导、脂蛋白分泌和代谢,以及内质网、线粒体的功能等。大量的动物研究提示GPL代谢紊乱能引发内质网应激、以及肥胖、胰岛素抵抗、血脂异常等代谢异常。迄今为止,国际上有关GPL与糖尿病、代谢综合征的前瞻性队列研究有限,尤其是在亚洲人群中的研究十分匮乏。

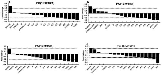
  林旭研究员团队通过与曾嵘研究员的团队合作,通过采用高通量靶向液相色谱—电喷雾串联质谱法定量检测了2248名参加“中国老龄人口营养健康状况研究”志愿者的基线血浆脂质组(728种脂质),其中包括了160种GPLs。林旭组博士生陈双双和副研究员孙亮等在GPL与糖尿病的相关研究(Diabetologia)中发现:(1)8种GPLs [1种溶血磷脂酰胆碱、6种磷脂酰胆碱(PC)以及1种磷脂酰乙醇胺(PE)], 尤其是与脂质从头合成途径(de novo lipogenesis pathway, DNL)脂肪酸相关的PC水平的升高可显著增加6年糖尿病发病风险(相对风险比值比: 1.13-1.25;图1);(2)其中4种仅包含饱和、单不饱和的脂肪酸?;吹腉PLs [PC(16:0/16:1, 16:0/18:1, 18:0/16:1)和PE(16:0/16:1)]与高精制谷物(大米和面条),低鱼类、奶制品和大豆制品摄入相关的膳食模式呈显著正相关(P < 0.001; 图2);(3)上述8种GPLs与糖尿病风险之间的正相关性在体力活动水平较低的个体中更为显著(P-inter < 0.05; 图3)。而在与代谢综合征相关的研究(AJCN) 中则发现:(1)11种GPLs(1种PC、9种PE以及1种磷脂酰丝氨酸)水平的升高可显著增加6年后代谢综合征的发病风险(相对风险比值比: 1.16-1.30;图4),而且这些GPLs的sn-2位置大部分含有长链或超长链多不饱和脂肪酸(PUFAs);(2)其中7种GPLs与代谢综合征发病风险之间的正相关性在红细胞膜n-3 PUFAs水平较低的人群中更显著(P-inter < 0.05; 图5)。总之,上述研究提示特定GPL能显著增加6年后糖尿病或代谢综合征的发病风险,但增加体力活动或摄入n-3 PUFAs可能有助于降低其对心血管健康的负面影响。

  中国科学院上海营养与健康研究所林旭研究员、孙亮副研究员及中国科学院分子细胞科学卓越创新中心曾嵘研究员为这两篇论文的共同通讯作者;中国科学院上海营养与健康研究所博士研究生陈双双为两篇论文的第一作者,中国科学院分子细胞科学卓越创新中心吴庆庆博士为论文的共同第一作者。上述研究获得了中国科学院战略性科技先导专项(B类)、科技部十三五“精准医学研究”重点专项、国家自然科学基金及上海市科技重大专项等的资助。

  文章链接:

  https://doi.org/10.1007/s00125-021-05611-3

  https://doi.org/10.1093/ajcn/nqab050


图1. 基线血浆甘油磷脂与新发糖尿病风险的关联关系


图2. 与血浆甘油磷脂相关的膳食模式


图3. 根据体力活动水平对血浆甘油磷脂与新发糖尿病间关联关系进行分层分析


图4. 基线血浆甘油磷脂与新发代谢综合征风险的关联关系


图5. 根据红细胞膜n-3 多不饱和脂肪酸(PUFAs)水平对血浆甘油磷脂与新发代谢综合征间关联关系进行分层分析

附件: